En la siguiente entrada mostraré algunas instrucciones útiles, cuando estamos escribiendo integrales con LaTeX. Nuestro archivo .tex será parecido al siguiente, donde además es importante cargar el paquete {amsmath}:
\documentclass[a4paper,openright,12pt]{report}
\usepackage[spanish]{babel} % espanol
\usepackage[latin1]{inputenc} % acentos sin codigo
\usepackage{amsmath}
\begin{document}
\usepackage[spanish]{babel} % espanol
\usepackage[latin1]{inputenc} % acentos sin codigo
\usepackage{amsmath}
\begin{document}
\end{document}
De manera general, podemos dibujar una integral, de la manera siguiente:
\begin{equation}
y = \int_{x=0}^{x=2 \pi + 10} f(x) \cdot dx
\end{equation}
Si queremos poner los índices exactamente encima y debajo del símbolo de integral, podemos usar el comando \limits.
\begin{equation}
y = \int \limits_{x=0}^{x=2 \pi + 10} f(x) \cdot dx
\end{equation}
Nótese que LaTeX suele dejar mucho espacio entre el símbolo de la integral, y la función siguiente. A veces, podemos solucionarlo usando repetidamente el comando \!, que genera un espacio negativo.
\begin{equation}
y = \int \limits_{x=0}^{x=2 \pi + 10} \!\!\!\!\!\!\! f(x) \cdot dx
\end{equation}
\begin{equation}
y = \iint f(x) = \iiint g(x) = \idotsint h(x)
\end{equation}
y = \iint f(x) = \iiint g(x) = \idotsint h(x)
\end{equation}
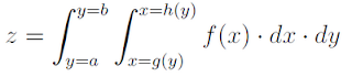
Aunque si queremos poner límites, tendremos que trabajar como si fueran dos integrales por separado:
\begin{equation}
z = \int _{y=a}^{y=b} \int _{x=g(y)}^{x=h(y)} f(x) \cdot dx \cdot dy
\end{equation}
z = \int _{y=a}^{y=b} \int _{x=g(y)}^{x=h(y)} f(x) \cdot dx \cdot dy
\end{equation}
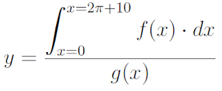
Cuando LaTeX escribe una integral dentro de una fracción, la dibuja pequeñita y un poco fea:
\begin{equation}
y = \dfrac{\int_{x=0}^{x=2 \pi + 10} f(x) \cdot dx}{g(x)}
\end{equation}
y = \dfrac{\int_{x=0}^{x=2 \pi + 10} f(x) \cdot dx}{g(x)}
\end{equation}
Para solucionarlo, podemos usar el comando \displaystyle
\begin{equation}
y = \dfrac{\displaystyle \int_{x=0}^{x=2 \pi + 10} f(x) \cdot dx}{g(x)}
\end{equation}
Para las integrales cerradas, podemos usar las instrucciones \oint, \oiint, \oiiint (para integrales sencillas, dobles y triples). En el caso de las dos últimas, necesitaremos cargar el paquete {txfonts} o {pxfonts}.
\usepackage{txfonts}
\begin{equation}
\oint_L = \oiint_A = \oiiint_V
\end{equation}








8 comentarios:
saben como puedo hacer vertica, el simbolo de las integrales, gracias.
Hola Dev,
con el paquete {rotating} puedes girar una palabra. Por ejemplo:
\usepackage{rotating}
\rotatebox{90}{$\int$}
Hasta luego
Hola,
He añadido el comando \usepackage{txfonts} al inicio de mi documento, para poder usar la integral \oiint_A, pero este paquete me ha cambiado la fuente de letra. Si lo borro, la integral en la ecuación me da error. Me gustaría poder poner esa integral, manteniendo mi fuente de letra previa.
Muchas gracias por adelantado, ¡este blog es una auténtica maravilla!
Maialen Orte. ya resolviste tu problema?, a mi me pasa lo mismo y no se que hacer, ¿Podrias ayudarme?
Muchas gracias, es un post muy útil.
Para que aparezcan las integrales cerradas dobles y triples hay que agregar los paquetes amsmath y esint
gracias!
Publicar un comentario